Menü
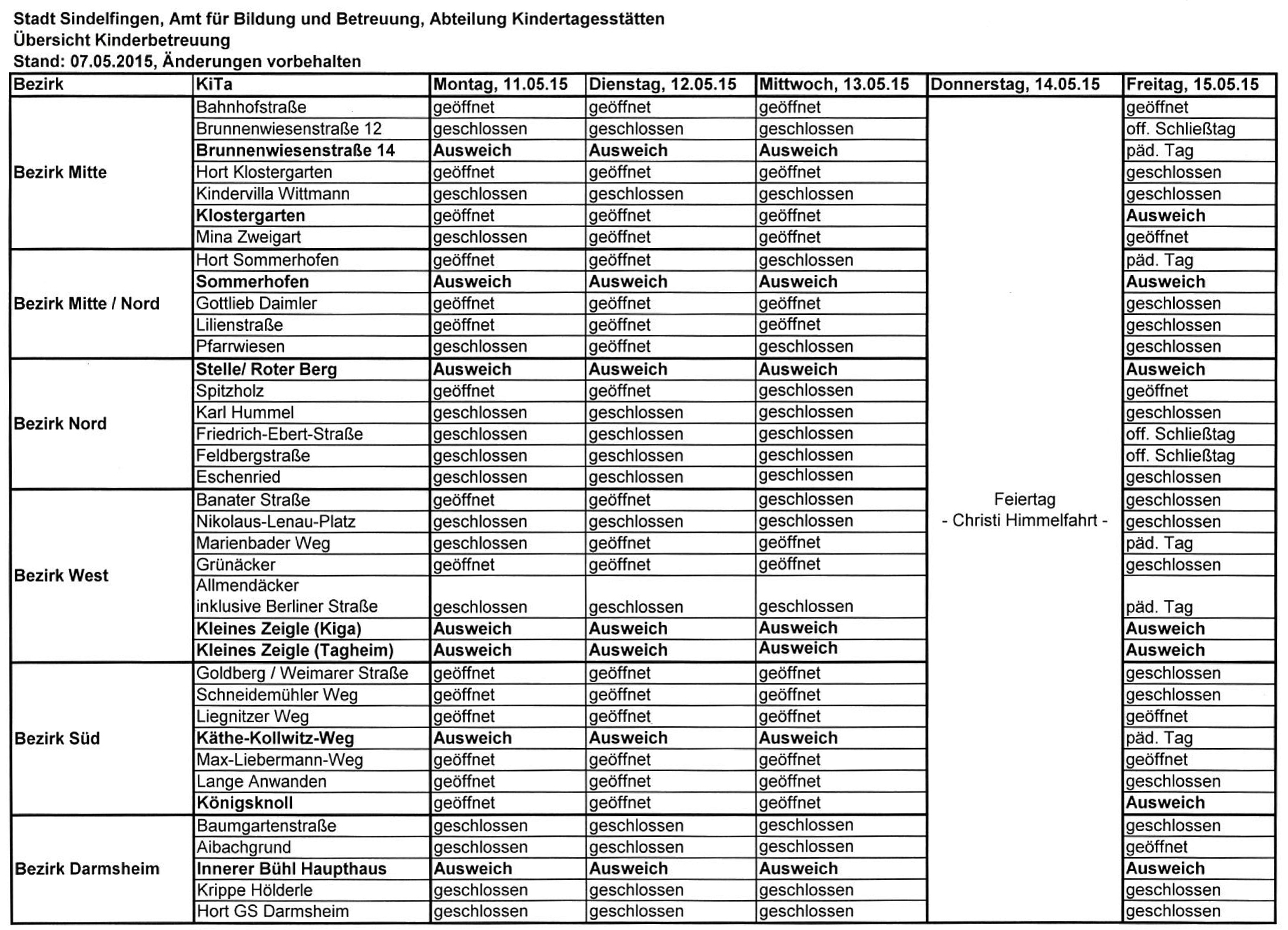
Sindelfingen/Böblingen: Viele Kindertagesstätten betroffen

Ab Montag wird in den Kitas gestreikt

Die Gewerkschaft Verdi ruft Kindertagesstätten erneut zum Warnstreik auf. Die städtische Kindertagesstätten in Sindelfingen und Böblingen streiken von Montag, 11. Mai bis Freitag, 15. Mai. Die Gewerkschaft ...